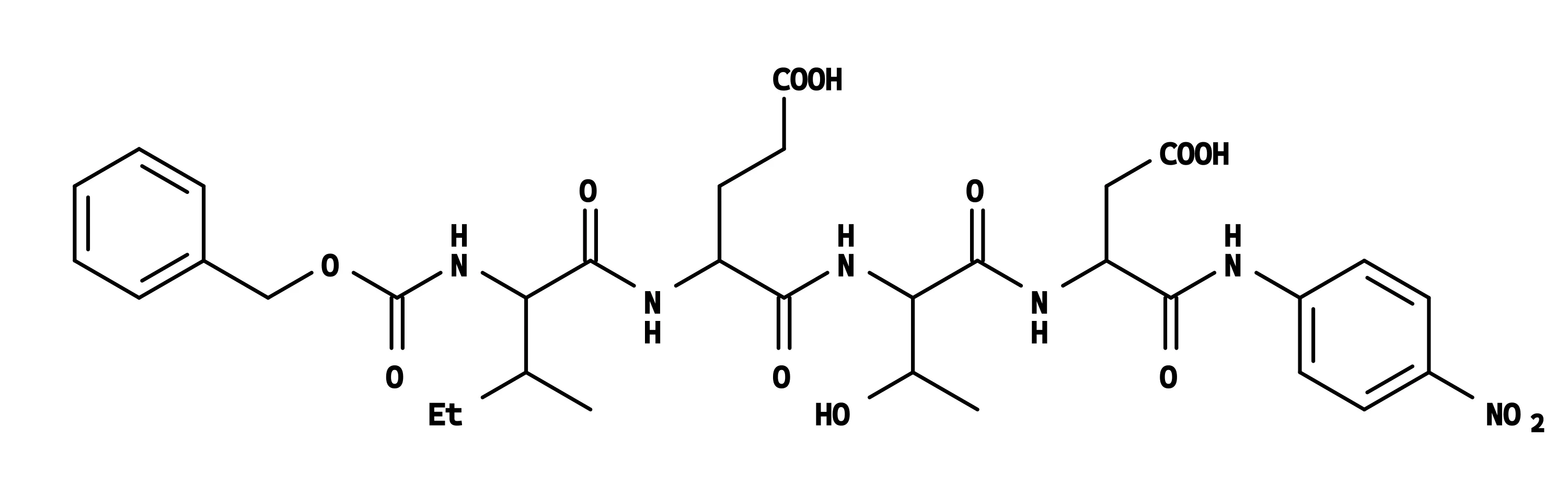
Z-IETD-pNA *CAS 219138-21-3*
- Availability: 24/48H Stock Items & 2 to 6 Weeks non Stock Items.
- Dry Ice Shipment: No








Z-IETD-pNA *CAS 219138-21-3*
Description:
Z-IETD-pNA is a colorimetric caspase-8/granzyme B substrate containing the benzyloxycarbonyl (Z) moiety.UNSPSC:
12352200H Phrases:
H303, H313, H333R Phrases:
R20, R21, R22Shipping Conditions:
Room TemperatureStorage Conditions:
Freeze (< -15 °C) ; Minimize light exposureShelf Life:
12 Months
MSDS Document
View Document