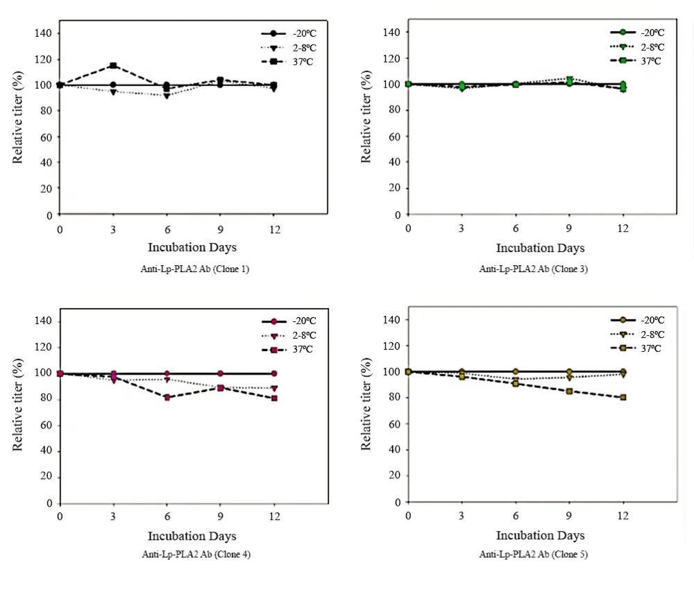
Anti-Platelet-activating factor acetylhydrolase (Lp-PLA2) antibody *Mouse anti-human, monoclonal IgG3*
CAT:
271-V100085-AAT
Size:
50 µg
Price:
Ask
- Availability: 24/48H Stock Items & 2 to 6 Weeks non Stock Items.
- Dry Ice Shipment: No
















Anti-Platelet-activating factor acetylhydrolase (Lp-PLA2) antibody *Mouse anti-human, monoclonal IgG3*
Description:
Lipoprotein-associated phospholipase A2 (Lp-PLA2), or platelet-activating factor acetylhydrolase (PAF-AH), is a 45 kDa phospholipase enzyme produced by inflammatory cells such as mature macrophages and activated platelets.Host:
MouseReactivity:
HumanShipping Conditions:
Blue IceStorage Conditions:
Freeze (< -15 °C)Shelf Life:
12 Months
MSDS Document
View Document